水中亞硝胺類化合物有很多種檢測方法,今天我們來講一講氣相色譜法的操作流程。氣相色譜法主要是利用二氯甲烷萃取樣品中的亞硝胺類化合物,然后經過脫水和濃縮,接著用弗羅里硅土柱或堿性氧化鋁柱凈化后定容。最后經過毛細管柱分離,氫火焰離子化檢測器測定其濃度。

1.二氯甲烷:農殘級。
2.甲醇:農殘級。
3.丙酮:農殘級。
4.戊烷:農殘級。
5.乙醚:農殘級。
6.硫代硫酸鈉:優級純。
7.無水硫酸鈉:優級純。
使用前,應在馬弗爐中于450℃灼燒4h,冷卻后裝入磨口玻璃瓶中密封,置于干燥器中保存。
8.氯化鈉:優級純。
使用前,應在馬弗爐中于350℃灼燒4h,冷卻后裝入磨口玻璃瓶中密封,置于干燥器中保存。
9.硫酸:1.84g/ml,優級純。
10.硫酸溶液:1+4(v/v)。
用硫酸配制。
11.氫氧化鈉:優級純。
12.氫氧化鈉溶液:2mol/L。
稱取8.0g氫氧化鈉溶于適量水中,待冷卻至室溫后稀釋定容至100ml,混勻。轉入塑料試劑瓶中保存。
13.弗羅里硅土:60目-100目。
在馬弗爐中于650℃灼燒5h,冷卻后貯存于具玻璃塞或內襯鋁箔螺旋蓋的棕色玻璃容器內。使用前,取適量灼燒后的弗羅里硅土,在內襯鋁箔螺旋蓋的玻璃容器中于130℃活化16h,加入2ml水,振搖充分混合10min,靜置至少2h后使用。
14.堿性氧化鋁:100目-200目。
稱取l00.0g氧化鋁于500ml具玻璃塞或內襯鋁箔螺旋蓋的棕色玻璃容器中,加入2ml水,振搖充分混合10min,靜置至少2h后使用。
15.混合標準貯備液:2000mg/L。
分別稱取0.200g(精確至0.0001g)N-亞硝基二甲胺、N-亞硝基二乙胺、N-亞硝基二正丙胺和N-亞硝基二苯胺,溶于適量二氯甲烷,全量轉入10ml容量瓶中,用二氯甲烷定容至標線,混勻,于4℃以下冷藏、避光和密封可保存6個月。亦可直接購買市售有證標準溶液。
16.混合標準使用液:200mg/L。
準確移取1.00ml混合標準貯備液于10ml容量瓶中,用二氯甲烷定容至標線,混勻,于4℃以下冷藏、避光和密封可保存2個月。
17.玻璃棉:市售經過硅烷化處理的玻璃棉。
18.氮氣:純度≥99.999%。
19.氫氣:純度≥99.99%。
20.助燃氣:無油壓縮空氣,經5Å分子篩凈化。
1.氣相色譜儀:具氫火焰離子化檢測器(FID),具分流/不分流進樣口,柱箱可程序升溫。
2.色譜柱Ⅰ:石英毛細管色譜柱,柱長 30 m×內徑 0.25 mm,膜厚 0.25 µm,固定相為5%二苯基-95%二甲基聚硅氧烷,或其它等效色譜柱。
3.色譜柱Ⅱ:石英毛細管色譜柱,柱長 30 m×內徑 0.25 mm,膜厚 0.25 µm,固定相為35%二苯基-65%二甲基聚硅氧烷,或其它等效色譜柱。
4.濃縮裝置:旋轉蒸發儀(或具有相同功能的濃縮裝置)和氮吹濃縮儀。
5.層析柱Ⅰ:約 400 mm 長×22 mm 內徑,用于弗羅里硅土柱凈化法。
6.層析柱Ⅱ:約 300 mm 長×10 mm 內徑,用于堿性氧化鋁柱凈化法。
7.分液漏斗:500 ml,具聚四氟乙烯塞。
8.一般實驗室常用儀器和設備。
采集時要用硬質磨口玻璃瓶或具聚四氟乙烯材質蓋墊的螺紋口玻璃瓶,水樣應充滿樣品瓶并加蓋密封,于4℃以下冷藏、避光保存和運輸。采樣后應在7d內對樣品進行萃取,萃取后若不能及時測定,應于4℃以下冷藏、避光和密封保存,30d內完成分析測定。
1.量取250ml樣品于500ml分液漏斗中,用硫酸溶液或氫氧化鈉溶液調節樣品的pH值為6-9,加入50ml二氯甲烷,振蕩萃取2min,靜置10min,兩相分層,收集有機相,重復萃取2次-3次。合并有機相于錐形瓶中,加入無水硫酸鈉脫水干燥。
2.不需凈化的樣品,使用濃縮裝置將萃取液濃縮至1ml(V1),待測。需要凈化的樣品,使用濃縮裝置將萃取液濃縮至5ml,待凈化。
對于成分復雜的地表水、工業廢水和生活污水,萃取后使用弗羅里硅土柱或堿性氧化鋁柱進行凈化。
在層析柱Ⅰ底部放入約0.5cm厚的玻璃棉,再放入22.0g已活化的弗羅里硅土,輕敲柱子使其內容物向下沉實,在弗羅里硅土層上端加入約0.5cm厚的無水硫酸鈉。用40ml乙醚/戊烷(15+85,v/v)淋洗柱子,棄去淋洗液,當無水硫酸鈉層恰好暴露于空氣之前,加入濃縮后的5ml萃取液。
用90ml乙醚/戊烷(15+85,v/v)進行第一次洗脫,然后用100ml丙酮/乙醚(5+95,v/v)進行第二次洗脫,收集合并兩次洗脫液。使用濃縮裝置將收集的洗脫液濃縮至1.0ml(V1),待測。
在層析柱Ⅱ底部放入約0.5cm厚的玻璃棉,再放入12.0g準備好的堿性氧化鋁,輕敲柱子使其內容物向下沉實,在堿性氧化鋁層上端加入約1cm厚的無水硫酸鈉。用10ml乙醚/戊烷(3+7,v/v)淋洗柱子,棄去淋洗液,當無水硫酸鈉層恰好暴露于空氣之前,加入濃縮后的5ml萃取液。
用10ml乙醚/戊烷(3+7,v/v)進行第一次洗脫,然后用60ml乙醚/戊烷(1+1,v/v)進行第二次洗脫,收集合并兩次洗脫液。使用濃縮裝置將收集的洗脫液濃縮至1.0ml(V1),待測。
量取250ml同批次實驗用水代替樣品,按照與試樣的制備相同步驟,制備空白試樣。
儀器參考條件
不同型號氣相色譜儀的最佳工作條件不同,應按照儀器說明書進行操作。常用的儀器參考條件如下:
進樣口溫度:250℃。
進樣方式:分流進樣,分流比為5:1。
柱箱溫度:初始溫度50℃,保持2.5min,以30℃/min的速率升至220℃,保持4min。
柱流量:氮氣1.2ml/min。
進樣體積:1.0ul。
檢測器溫度:300℃;燃氣:氫氣流量30ml/min;助燃氣:空氣流量400ml/min。
取6個5ml容量瓶,分別加入適量二氯甲烷,分別加入25.0ul、50.0ul、100.0ul、150.0ul、200.0ul、250.0ul混合標準使用液,用二氯甲烷定容,搖勻,配制成4種亞硝胺類化合物質量濃度分別為1.00mg/L、2.00mg/L、4.00mg/L、6.00mg/L、8.00mg/L和10.0mg/L的混合標準系列。按照儀器參考條件,由低濃度到高濃度依次進行測定。以亞硝胺類化合物的質量濃度(mg/L)為橫坐標,峰面積或峰高為縱坐標,繪制校準曲線。

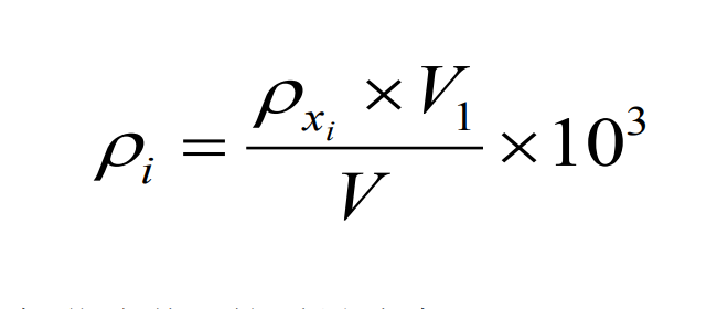
準確移取1.00ul制備好的試樣,按照與繪制校準曲線相同的儀器參考條件和步驟進行測定。其中定量分析用外外標標準曲線法,按照應公式可以計算出水樣中目標化合物的質量濃度。

此方法來源于《水質 亞硝胺類化合物的測定 氣相色譜法》